欢迎访问广东翁江化学试剂有限公司官网!
在线留言
|
联系我们
咨询热线
13927870523
公司首页
|
公司介绍
|
公司动态
|
产品展厅
分析试剂
|
证书荣誉
|
联系方式
|
在线留言
|
产品展厅
您当前的位置:
网站首页
>
产品展厅
>
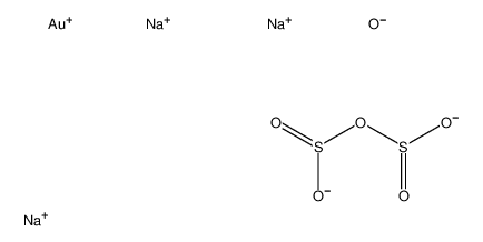
亚硫酸金钠19153-98-1
亚硫酸金钠19153-98-1
英文名称:
Gold(I) trisodium disulphite
品牌:
翁江试剂
产地:
广东
型号:
25克,100克,500克,25公斤及其它包装规格
货号:
PB23828
纯度:
固体,金含量:20.0±0.5g/100g
cas:
19153-98-1
发布日期:
2025-12-09
更新日期:
2025-12-09
发送咨询信息
产品详请
产地
广东
品牌
翁江试剂
货号
PB23828
用途
科研,实验、生产应用
包装规格
25克,100克,500克,25公斤及其它包装规格
CAS编号
19153-98-1
纯度
固体,金含量:20.0±0.5g/100g%
是否进口
否
PB23828
|
亚硫酸金钠
|
19153-98-1
别名
二亚硫酸金(I)三钠
英文名
Sodium Gold Sulfide
CAS号
19153-98-1
熔点
分子式
AuNa
3
O
6
S
2
闪点
分子量
426.06
相关产品:
莰烯,79-92-5
苏丹红B,3176-79-2
二溴甲烷,74-95-3
硝酸钾-15N,57654-83-8
联系方式
手机:
13927870523
Q Q:
手机访问官网